要上天嗎?馬斯克:新款特斯拉跑車將裝置火箭推進器 瞬間能起飛
1月10日,馬斯克在推特上宣布,打算讓特斯拉Roadster裝備火箭推進器,這樣汽車就可以飛起來,就算不能長時間飛,起碼是要在空中懸浮一段時間。特斯拉要在2020年推出新的Roadster跑車,...
1月10日,馬斯克在推特上宣布,打算讓特斯拉Roadster裝備火箭推進器,這樣汽車就可以飛起來,就算不能長時間飛,起碼是要在空中懸浮一段時間。
特斯拉要在2020年推出新的Roadster跑車,所以馬斯克上述大膽想法就算實施,也都是在新的車型上了。馬斯克對這個新項目進行詳細的解釋,車子裝配SpaceX的冷氣推進系統,其放置在電動車兩個后座下的壓力容器中,然后利用其超高氣壓,啟動后全速推進車型飛起來。
馬斯克的這個想法聽起來確實很大膽,對此有外媒還進行了特別的解讀,他們認為可以飛行的Roadster并不是一個只停留在想象中的產品,它還是有可能被實現的。
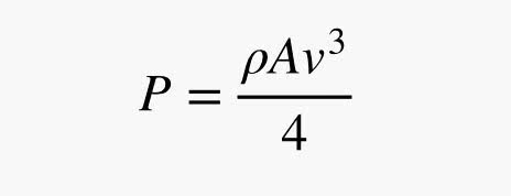
根據動量原理,動量的變化需要一個力,而正是這個力抵消了引力,使汽車飛起來,而為了汽車能在空中保持飛行,這意味著你每秒都是需要一個能量的,而能量進入空氣的動能,取決于空氣的質量和速度,那么就來看看它懸停在空中的力。
事實上,加速空氣所需的功率取決于提高第三方功率對空氣的提速,所以我們看到直升機,可以輕松份的飛行,就是這個到道理,而特斯拉Roadster想要飛起來同樣是這個道題,所以問題就來看,后者需要多大的懸停力(懸停時需要的拉力)呢,其公式如下,其中ρ代表空氣密度(約每立方米1.2公斤),而A代表轉子或噴氣機或其他的總截面積:
以Model 3為例,車子整重1800公斤,而轉子面積是0.81平方米((根據20英寸輪輞直徑計算),最后得到的是1.7兆瓦,當然車子是不可能一直停留在空中的,畢竟燃料有限。Model 3最大電池是0.075兆瓦小時,如果懸停需要1.7兆瓦,那么它可以飛行0.044小時,也就是2.64分鐘。
通過簡單的理論來看,雖然馬斯克的想法很夸張,但是確實理論上是可以實現的,雖然飛行時間上可能不是很長。但后續優化或者改進,這已經足以讓人感到瘋狂了,不是嗎?
馬斯克預測:十年內人類能夠將大腦和電腦連接起來
馬斯克說,人類與AI的共生將通過把電腦電極連接到大腦的神經元來實現。“一塊芯片和一束微小的電線將被植入你的頭骨內。”他說。“我相信這是可以做到的。這可能需要十年的時間。”...
隱私保護哪家強?Facebook墊底 蘋果表現不及微軟特斯拉
據國外媒體報道,根據數據研究公司Toluna公開的用戶個人信息隱私調查,在硅谷多家科技巨頭之中,蘋果的隱私保護服務不如特斯拉和微軟更受用戶信任,而最不信任的科技公司是Facebook...
特斯拉新一代Roadster跑車戶外照曝光 售價20萬美元起
自去年11月份,馬斯克發布了新一代Roadster的部分性能指標后,外界對于新一代的Roadster充滿了期望。新一代Roadster最近一次公開亮相是在今年9月在巴塞爾車展上,不過有瑞士媒發...
蘋果自動駕駛測試車增至70輛 超過特斯拉次于通用和Waymo
蘋果自動駕駛項目已經不是什么秘密,但公司仍然沒有確定任何未來計劃和產品。今天,根據 DMV 的文件,蘋果在加利福尼亞州已經擁有 70 輛自動駕駛測試車,同時還有 139 位可以測試自...
無人駕駛狀態下撞上消防車 車主起訴特斯拉索賠
9月6日消息,近期美國猶他州一位女車主起訴特斯拉,因其汽車在Autopilot自動駕駛的過程中撞上了一輛停靠的消防車。這位名為Heather Lommatzsch的婦女在周二的一份訴訟中稱,特斯...
特斯拉私有化宣告失敗 從開始到放棄 17天間發生了什么?
8月25日早間,特斯拉董事長兼 CEO 埃隆·馬斯克在公司官網發布公告,宣布特斯拉私有化計劃終止,公司將維持現狀。這是自 8 月 7 日馬斯克提出私有化計劃以來,在公司官網發布的第三則公告。...
蘋果瘋狂挖角特斯拉 特斯拉回應:蘋果比我們錢多
北京時間8月24日上午消息,就在媒體本月曝光特斯拉首席工程師道格·菲爾德(Doug Field)重返蘋果的消息后,CNBC周四則對蘋果與特斯拉之間持續的挖角大戰展開了詳細報道。...
特斯拉開發自動駕駛芯片 處理速度將達英偉達10倍
特斯拉正在自己開發一個名叫“Hardware 3”的硬件,這將用在Model S、Model X以及Model 3上來實現自動駕駛功能。...
中美貿易戰主打制造業玄機:富士康去美國 特斯拉來上海
隨著上周末中美對雙方各500億美元出口開征關稅,7月11日美國貿易代表辦公室進一步發表聲明,將在本周末公布對中國2000億美元的出口征稅清單。中美貿易關系日趨緊張,是特朗普...
特斯拉兩款新版本Model 3曝光:駕感驚人
據CNET北京時間5月20日報道,當地時間星期六,特斯拉CEO埃隆·馬斯克(Elon Musk)暗示公司在開發兩款新版本Model 3。Model 3被認為是特斯拉轉型為主流汽車廠商的關鍵,但其...